检定项目和检定方法
10 外观检定:用目测、手动或读数放大镜观察,应符合1、2、3、4、5条的规定。
11 密合性检定:用一只500 ml装有真空表的透明试剂瓶,内放清水,将装有吸液嘴 (尖) 的移液器接在测试端上,起动抽气设备,使真空表逐渐指示到0.04 MPa,达到动平衡后,持续5 s,测试端的玻璃管下端不得有气泡逸出 (见图3)。
注:为保证测量的正确和一致,测试端玻璃管应浸入液体下5 cm左右。

注:为保证测量的正确和一致,测试端玻璃管应浸入液体下5 cm左右。
12 容量检定:以衡量法为准,介质为纯水。
12.1 检定前的准备:吸液嘴可用过氧乙酸或洗液进行清洗,然后分别用自来水和纯水冲洗干净,并干燥。
12.2 检定步骤
12.2.1 取一只适量并清洁的干燥称量杯,放入天平中,将天平调至平衡。
12.2.2 将可调移液器的容量调至被测点。
12.2.3 将吸液嘴(尖)紧套在移液器的下端,轻轻转动,以保证可靠的密封。
12.2.4 测试前应先将移液器吸液和排液几次。
12.2.5 垂直地握住移液器,将按钮揿到第一停止点,并把吸液嘴浸入纯水液面下2~3 mm左右,然后缓慢地放松按钮,等待1~2 s后离开液面,擦干吸液嘴外面的水(但不能碰到流液口),以免将器口内的水带走。
12.2.6 从天平中取出称量杯,把吸液嘴流液口靠在称量杯内壁上,缓慢地把按钮揿到第一停止点,等待1~2 s,再把按钮完全揿下,然后吸液嘴沿着称量杯的内壁向上移开。
12.2.7 用天平称量由移液器内排出纯水的质量,同时观察水温,这样重复多次 (不少于6次)。
13 数据处理
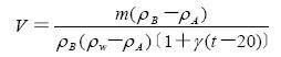
13.1 将称得的纯水质量值,通过下式求得容量值:

式中:V——移液器的实际容量 (μ1或mm3);
m——平衡纯水时所需砝码的质量 (mg);
ρB——砝码密度值 (砝码统一名义密度值为8.0 g/cm3);
ρA——空气密度值 (0.001 2 g/cm3);
ρw——t度时的纯水密度值 (g/cm3);
γ——移液器的体膨胀系数(℃-1) (可忽略不计);
t——检定时水的温度 (℃)。
13.2 日常工作中,使用公式 (1) 进行计算比较繁琐,为方便起见,将公式 (1) 简化成下列公式,并通过查表求出实际容量。
式中: V0——移液器的标称容量 (μ1或mm3);
m——称得的纯水质量值 (mg);
m0——衡量法用表中相对应的质量值,见附录 (mg);

13.3 容量的相对误差可由下式算出:
式中: V- ——测得的实际容量平均值 (不少于6次)。
13.4 容量的重复性可由下式算出:

